


Website hacking issues
A Heartfelt Act of Kindness

FILE SHARING

Getting to Kashmir: Alternative to the Jammu-Srinagar highway

Teenagers of Today

10 Rare Historic Pictures that are Ever Captured

Why Soft Skills Matter as Much as Grades?

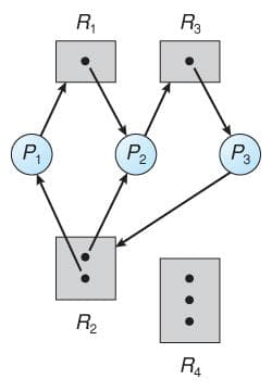
Deadlock
Information of meesho company

An Approach To Spyware Detection And Removal

GraphQL

Zoho

Metasploit

Multiple processor scheduling
MQTT (MQ Telemetry Transport) in Data Science
Internet: The Vast Ocean Of Knowledge.

Memory management

LINUX

What's Better : Supervised or Unsupervised Learning

DATA WRANGLING
MOBILE DEVICE FORENSIC

Types of threads
Why Inconel 625 and Monel 400 Remain Unbeatable in Refinery Applications?

Deadlocks

De-Coding Love

DIGITAL TECHNOLOGY

E-BUSINESS RISK MANAGEMENT

PODIO

GIS Mapping
Components of GIS

Data is an asset and it is your responsibility!

Deadlocks in Operating System

Carrot Pickle With Raisins (lagan Nu Achar)
Theads

EMAIL INVESTIGATION

Memory managment
What if COVID does not exist!

Virtual Memory

memory cache
Session Hijacking
security requirements for safe e-payment

Virtualisation
